收藏

中医脉学古籍《扁鹊镜经》

  • 中医脉学古籍《扁鹊镜经》
    10
总计:10

    请选择规格

  • 数量:
    库存量:99998 已售:1

中医脉学古籍《扁鹊镜经》

页数:  93页

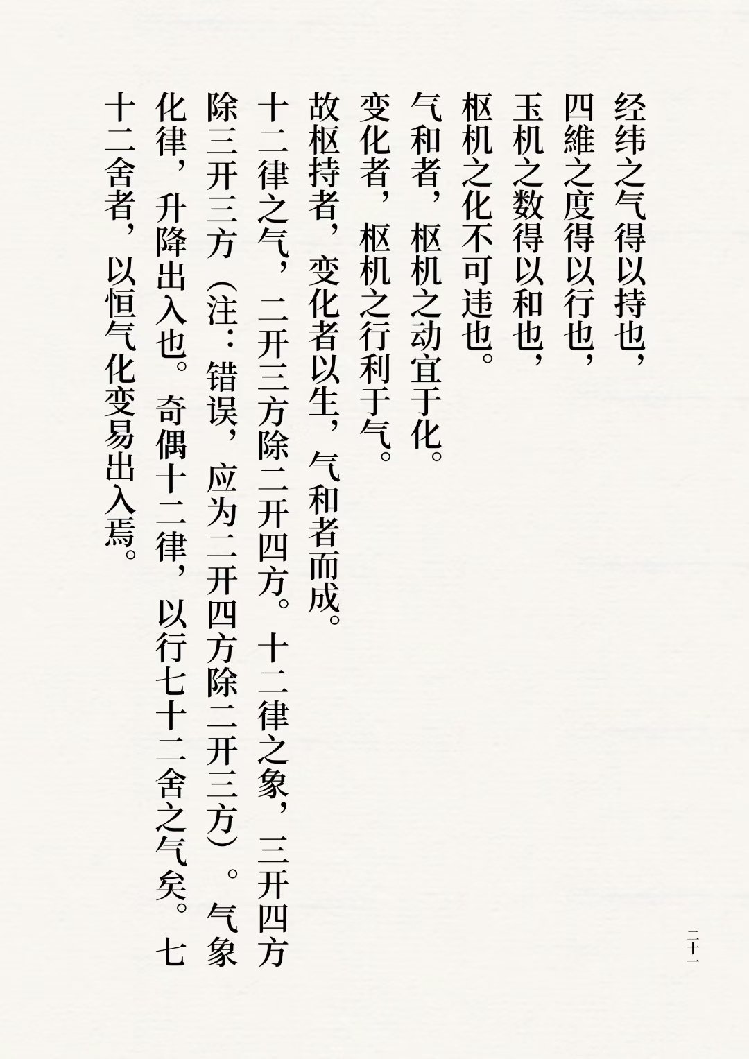
简介:《扁鹊镜经》中医脉学古籍,此是一部基于扁鹊失传医学文献整理的中医古籍。该书以明代杨耀祖抄录的《秦承祖脉经》残卷为底本,徐元文家族珍藏抄本三百六十余年,为现存唯一完整保存扁鹊医学理论的古籍。

mmexport1754823388913.jpg

mmexport1754823395419.jpg

mmexport1754823402082.jpg

mmexport1754823408613.jpg

mmexport1754823415135.jpg

mmexport1754823421715.jpg

mmexport1754823428183.jpg

mmexport1754823434255.jpg

mmexport1754823440709.jpg


gujiwu666
gujiwu666
已为您复制好微信号,点击进入微信