收藏

风水古籍《雪心赋辩讹正解》

  • 风水古籍《雪心赋辩讹正解》
    9
总计:9

    请选择规格

  • 数量:
    库存量:99999 已售:0

风水古籍《雪心赋辩讹正解》

页数:  253页4卷

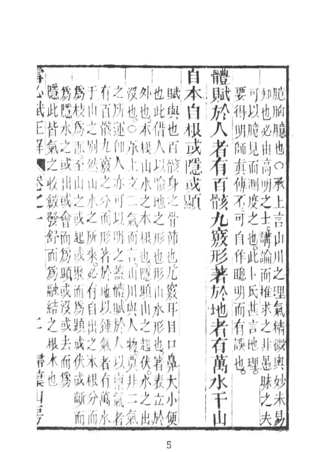
简介:《雪心赋辩讹正解》堪舆风水相关古籍。《雪心赋辨讹正解》是明清时期地理(风水)学的重要著作,由明代地理家孟浩(字天其)对唐代卜应天的《雪心赋》进行注解和辨析而成。

mmexport1758638400750.jpg

mmexport1758638412264.jpg

mmexport1758638423774.jpg

mmexport1758638435408.jpg

mmexport1758638447283.jpg

mmexport1758638458563.jpg

mmexport1758638470374.jpg

mmexport1758638481988.jpg

mmexport1758638488437.jpg


gujiwu666
gujiwu666
已为您复制好微信号,点击进入微信