收藏

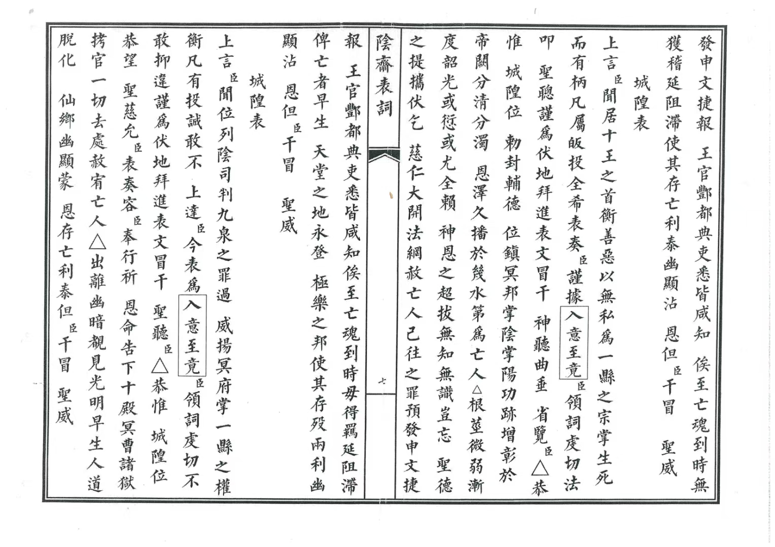
道家古籍《阴斋表词全集》

  • 道家古籍《阴斋表词全集》
    16
总计:16

    请选择规格

  • 数量:
    库存量:99999 已售:0

道家古籍《阴斋表词全集》

页数:  60双页120页

简介:《阴斋表词》《阴斋诸表文词全集》道家表文相关古籍。

mmexport1748173214305.jpg

mmexport1748173220960.jpg

mmexport1748173227100.jpg

mmexport1748173233193.jpg

mmexport1748173239566.jpg

mmexport1748173246021.jpg

mmexport1748173252303.jpg

mmexport1748173258552.jpg

mmexport1748173265107.jpg


gujiwu666
gujiwu666
已为您复制好微信号,点击进入微信