请选择规格
自序 奥稽古史、黄帝有明堂之制。阮元曰︰明堂者、古者天子宫室之初名。汉纬学家又谓明堂之制、始於黄帝之九宫经。戴九履一、左三右七、二四為肩、六八為足。以阴阳五行、星辰卦位、為明堂九宫室。后世术家之言九宫者皆从之。黄帝宅经、虽据后人所纂述、实為宅经之鼻祖。盖洪荒创造、万类咸苏。人不能无居、朝斯夕斯、為养生灵不可须臾离者也。降及有周、公刘迁幽以开基、周公营洛邑以朝诸侯。土圭测景、玉尺量方、於是建都立邑、其法备焉。子夏曰︰人因宅而立、宅因人而存。人宅相扶、感通天地。此又言人与宅关系之密切、不可不讲也。
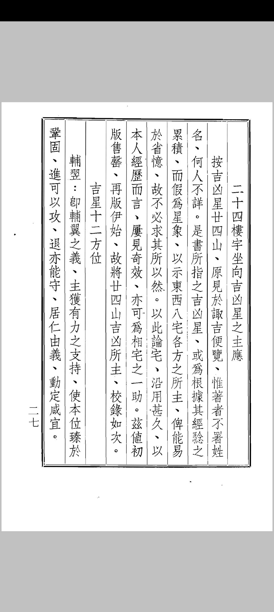
余数十年来。举凡天文地理、经史子集、无不精搜博引、且承家学渊源、得玉函之隐秘、接口授之真传。所著地学铁骨秘、天体历汇编、及撼龙经真义、中国七政四餘星图析义、先后发刊、心血既抛、玄机亦洩、可以夺造化之权、而尽归掌握中矣。每於经商餘暇、亲友諮询、輒多奇?U。今因年事渐增、未能一一酬酢。故将平生经验所得、盱衡今古、复有楼宇宝鑑之作、全书分為四章、第一章新製图式代罗经、第二章钥法、第三章评论。第四章简选、除第一章新製各式外、其餘三章、均缀以韵言、亦诗亦诀、出心裁、不拾前人餘唾、其有义蕴未宣、并為註释、自抒己见、不假他人、以免意旨分歧、成一家之言。至於图式、则為师青数十年不惮精思之创製、并附用法、庶几人人一目了然、自知趋吉避凶之道、值兹初版售罄、再版伊始、故增廿四星吉凶论、及附註紫白赋辨正、以期内容充实、集思广益、倍宏居安无疆之福、乐何如之。











