书籍齐全 文件发送 价格低
请选择规格
¥5
风俗通义 10卷 应劭(汉)郎壁金(明)
¥2
南工庙祠祀典
锁谏图卷
¥10
观自得斋别集投壶仪节马戏图谱牙牌参禅图谱
¥12
书法拓片_隋唐_怀仁集王羲之《圣教序》碑
书法拓片_东汉_曹全碑_明拓_故宫藏本_
书法_宋_米芾_行草书盛制帖页27432
书法册页_隋唐_孙过庭_草书_佛遗教经册
书法_清_王铎_草书五言律诗四首卷_绫本
书法_近现代_范曾_万山对联_下(宽高2
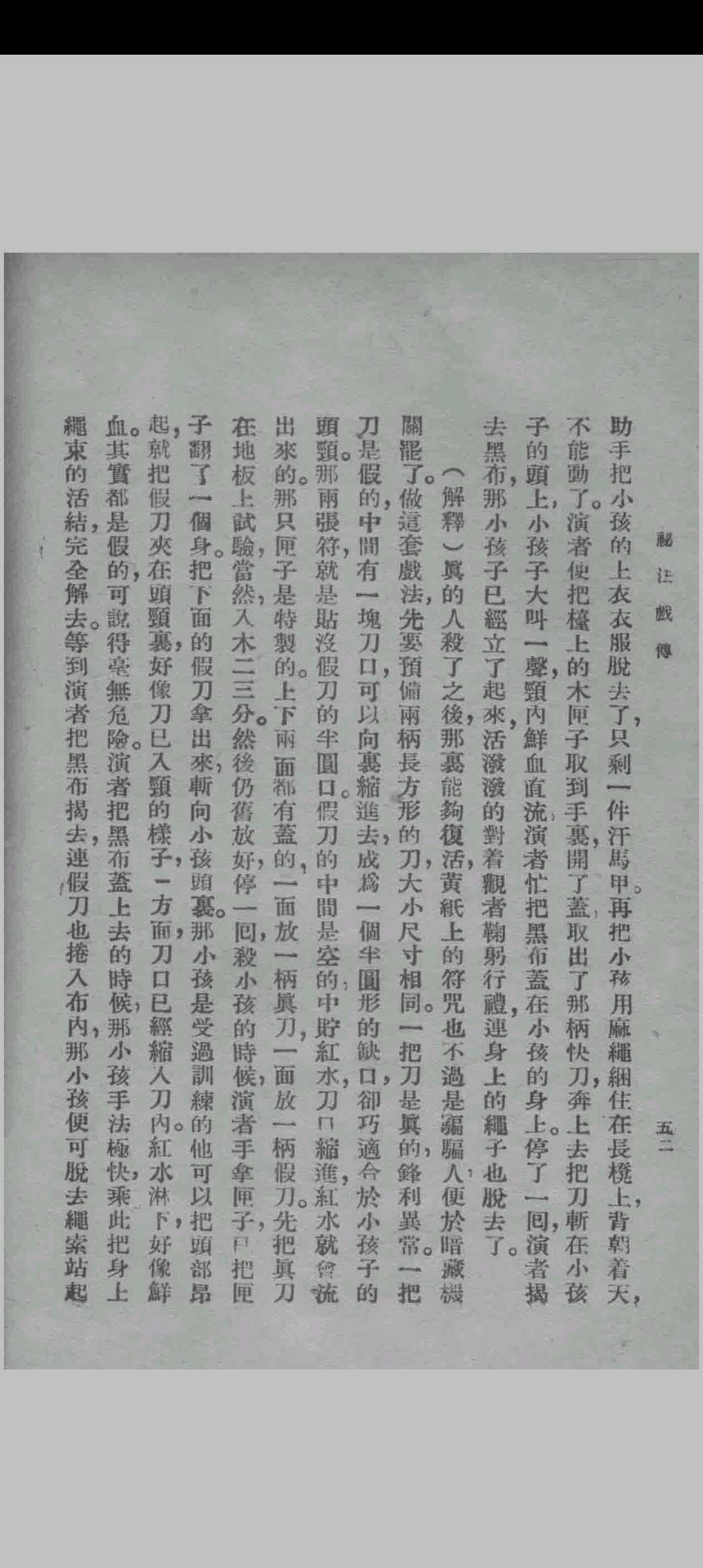
戏法秘传
魔术,幻戏相关内容 78页